泛亚电竞·(中国区)电子竞技平台

Product Description

The 2G -HTS tapes, produced in SCSC, are consist of Hastelloy as substrate,YBCO as superconducting layer, copper as reinforcing laminated layer, and polyimide as insulation layer.

Sample diagram

Finished product drawing

Material composition diagram

Introduction Of Superconducting Products

1、Zero Resistance Effect

Zero resistance. In a superconductor, below a temperature called the “critical temperature”, the electric resistance very suddenly falls to zero, at which the material conducts current perfectly although the flaws and vibrations of the atoms in it still exist.

2、Diamagnetic Effect-Meissner Effect

Diamagnetism refers to the fact that when a superconductor is in a superconducting state, the magnetic field lines that penetrate into the body are completely repelled, and the magnetic induction inside the superconductor is always kept at zero. Magnetic Levitation came out due to the property.

3、 Brian David Josephson Effect

Superconductivity is a macroscopic quantum phenomenon, and a superconductor can also be regarded as a macroscopic quantum system, the Brian David Josephson effect is the quantum mechanical tunneling effect that occurs when a pair of electrons passes through a thin insulating layer between two superconducting metals, about 1 nm thick. In 1962, UNIVERSITY OF OXFORD GRADUATE STUDENT B. Brian David Josephson first theoretically predicted the tunneling effect of superconducting electron pairs, which was later confirmed by experiments. Brian David Josephson effect can be used to measure the magnetic field of sensors, such as superconducting quantum interference devices (SQUIDs), monitoring voltage units reference devices.

Specifications And Parameters

Basic Parameters

Optional Parameters

Note:Tailor-made tapes are available with protection layers in different thickness and of different kinds.

Product Performence

Ic of 12 mm-wide 2G-HTS common tape (77K,s.f.)

Ic of 12 mm-wide 2G-HTS tape with thick ReBCO film (77K,s.f.)

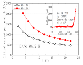
Ic of 2G-HTS tapes with AP

Angle dependence of in-field Ic values for AP tapes

Angle dependence of in-field Ic values for AP tapes 

Lift factors of 2G-HTS tapes with AP

I-V curves of 12mm-wide 2G-HTS tapes

Low joint resistance and excellent mechanical properties

*The experimental data measured by ①China High Magnetic Field Laboratory(CHMFL) ②Robinson Research Institute(New Zealand) ③EAST FORCE superconducting ④North China Electric Power University (NCEPU)

Product Display

  • 12MM silver plated (AG) strip

  • 12MM silver plated (AG) strip

  • 12MM copper plating (Cu) strip

  • 12MM copper plating (Cu) strip

  • 4mm package tape finished drawing

  • 4mm package tape finished drawing

  • 4mm package sample drawing

  • 4mm package sample drawing

  • 4mm finished product package drawing

  • 4mm finished product package drawing